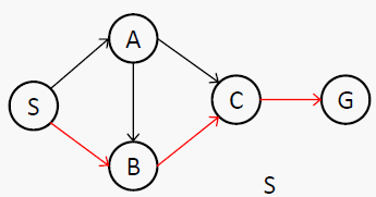
State Space Graph
A mathematical representation of a search problem.
- Nodes represent states.
- Arcs represent transitions.

Search Tree
The process of solving the search problem can be abstracted as a search tree.
- The start state is the root node.
- Children correspond to successors.
- Nodes show states, but correspond to plans (i.e., paths) that achieve those states.
